1. 首页
  2. 资讯
  3. 阿里发布Qwen3.5新模型:性能超万亿参数,推理效率飙升19倍!

阿里发布Qwen3.5新模型:性能超万亿参数,推理效率飙升19倍!

第一电动AI同学
2月16日,阿里巴巴在网页链接页面低调发布了Qwen3.5-Plus和Qwen3.5-397B-A17B两款新模型。Qwen3.5-Plus作为Qwen3.5系列的最新大语言模型,而Qwen3.5-397B-A17B则是Qwen3.5开源系列的旗舰大语言模型,两者均支持文本和多模态任务。Qwen3.5-Plus版本拥有3970亿参数,激活170亿,性能超越了万亿参数的Qwen3-Max模型,部署显存占用降低60%,推理效率显著提升,最大推理吞吐量可提升至19倍。

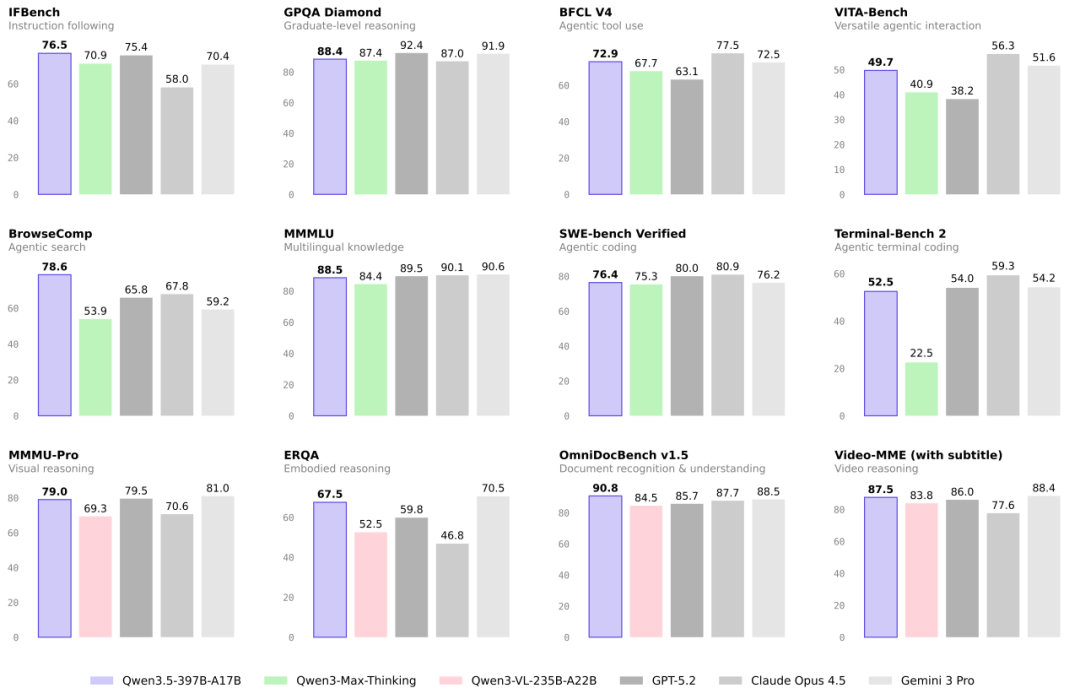
Qwen3.5-397B-A17B在推理、编程、智能体能力与多模态理解等全方位基准评估中表现优异,助力开发者与企业显著提升生产力。该模型采用创新的混合架构,结合线性注意力(GatedDeltaNetworks)与稀疏混合专家(MoE),实现出色的推理效率。总参数量达3970亿,每次前向传播仅激活170亿参数,在保持能力的同时优化速度与成本。此外,语言与方言支持从119种扩展至201种,为全球用户提供更广泛的可用性与更完善的支持。

Qwen3.5在能力、效率与通用性三个维度上推进预训练,通过早期文本-视觉融合与扩展的视觉/STEM/视频数据实现原生多模态,在相近规模下优于Qwen3-VL。多语言覆盖从119增至201种语言/方言;25万词表(vs.15万)在多数语言上带来约10–60%的编码/解码效率提升。Qwen3.5凭借高效的混合架构与原生多模态推理,为通用数字智能体奠定了坚实基础。下一阶段的重点将从模型规模转向系统整合,构建具备跨会话持久记忆的智能体、面向真实世界交互的具身接口、自我改进机制,目标是能够长期自主运行、逻辑一致的系统,将当前以任务为边界的助手升级为可持续、可信任的伙伴。

来源:一电快讯

返回第一电动网首页 >

4点赞
发表评论
热文榜
第一电动网官方微信

反馈和建议 在线回复

您的询价信息
已经成功提交我们稍后会联系您进行报价!

第一电动网
Hello world!